
| Board | Tamil Nadu State Board [Samacheer Kalvi] |
| Class | 10th Standard |
| Subject | Maths |
| Medium | English |
| Chapter | Chapter 1 [Relations and Functions] |
| Exercise | 1.3 |
| Download | Book Exercise Answers [Guide] |
Samacheer Kalvi 10th Maths Chapter 1 [Exercise 1.3]
The notion of sets provides the stimulus for learning higher concepts in mathematics. A set is a collection of well-defined objects. This means that a set is merely a collection of something which we may recognize. In this chapter, we try to extend the concept of sets in two forms called Relations and Functions. For doing this, we need to first know about cartesian products that can be defined between two non-empty sets.
Download Samacheer Kalvi 10th Maths Guide [English Medium] Here
Samacheer Kalvi 10th Maths Chapter 1 [Exercise 1.3] Answers
Question-1:
Let f = {(x, y) |x,y; ∈ N and y = 2x} be a relation on N. Find the domain, co-domain and range. Is this relation a function?
Solution:
X = {1,2,3,….}
Y = {1,2,3,….}
f = {(1,2) (2, 4) (3, 6) (4, 8) ….}
Domain = {1, 2, 3, 4 ….}
Co – Domain = {1, 2, 3, 4 ….}
Range = {2, 4, 6, 8 }
Yes this relation is a function.
Question-2:
Let X = {3, 4, 6, 8}. Determine whether the relation
R = {(x,f(x)) |x ∈ X, f(x) = x2 + 1}
is a function from X to N?
Solution:
f(x) = x2 + 1
f(3) = 32 + 1 = 9 + 1 = 10
f(4) = 42 + 1 = 16 + 1 = 17
f(6) = 62 + 1 = 36 + 1 = 37
f(8) = 82 + 1 = 64 + 1 = 65
yes, R is a function from X to N
Question-3:
Given the function f: x → x2 – 5x + 6, evaluate
(i) f(-1)
(ii) f(2a)
(iii) f(2)
(iv) f(x – 1)
Solution:
Give the function f: x → x2 – 5x + 6.
(i) f(-1) = (-1)2 – 5(1) + 6 = 1 + 5 + 6 = 12
(ii) f(2a) = (2a)2 – 5(2a) + 6 = 4a2 – 10a + 6
(iii) f(2) = 22 – 5(2) + 6 = 4 – 10 + 6 = 0
(iv) f(x – 1) = (x – 1)2 – 5(x – 1) + 6
= x2 – 2x + 1 – 5x + 5 + 6
= x2 – 7x + 12
Question-4:
A graph representing the function f(x) is given in it is clear that f(9) = 2.
(i) Find the following values of the function
(a) f(0)
(b) f(7)
(c) f(2)
(d) f(10)
Solution:
(a) f (0) = 9
(b) f (7) = 6
(c) f (2) = 6
(d) f(10) = 0
(ii) For what value of x is f(x) = 1 ?
Answer: When f(x) = 1 the value of x is 9.5
(iii) Describe the following
(i) Domain
(ii) Range.
Solution :
Domain = {0, 1, 2, 3,… .10}
= {x / 0 < x < 10, x ∈ R}
Range = {0,1,2,3,4,5,6,7,8,9}
= {x / 0 < x < 9, x ∈ R}
(iv) What is the image of 6 under f?
Answer: The image of 6 under f is 5.
Question-5:
Let f (x) = 2x + 5. If x ≠ 0 then find
f(x+2)−f(2)/x
Solution:
f(x) = 2x + 5
f(x + 2) = 2(x + 2) + 5
= 2x + 4 + 5
= 2x + 9
Question-6:
A function/is defined by f(x) = 2x – 3
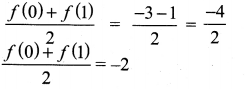
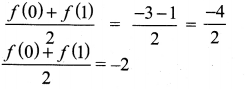
(i) find f(0)+f(1)/2
(ii) find x such that f(x) = 0.
(iii) find x such that/ (A:) = x.
(iv) find x such that fix) =/(l – x).
Solution:
(i) f(x) = 2x – 3
f(0) = 2(0) – 3 = -3
f(1) = 2(1) – 3 = 2 – 3 = -1
(ii) f(x) = 0
2x – 3 = 0
2x = 3
x = 3/2
(iii) f(x) = x
2x – 3 = x
2x – x = 3
x = 3
(iv) f(1 – x) = 2(1 – x) – 3
= 2 – 2x – 3
= – 2x – 1
f(x) = f(1 – x)
2x – 3 = – 2x – 1
2x + 2x = 3 – 1
4x = 2
x = 2/4 = 1/2
Question-7:
square piece of material, 24 cm on a side, by cutting equal squares from the corners and turning up the sides as shown. Express the volume V of the box as a function of x.
Solution:
After cutting squares we will get a cuboid,
length of the cuboid (l) = 24 – 2x
breadth of the cuboid (b) = 24 – 2x
height of the cuboid (h) = 2x
Volume of the box = Volume of the cuboid
V = (24 – 2x)(24 – 2x) (x)
= (24 – 2x)2 (x)
= (576 + 4x2 – 96x) x
= 576x + 4x3 – 96x2
V = 4x3 – 96x2 + 576x
V(x) = 4x3 – 96x2 + 576x
Question-8:
A function f is defined by f(x) = 3 – 2x. Find x such that f(x2) = (f (x))2.
Solution:
f(x) = 3 – 2x
f(x2) = 3 – 2 (x2)
= 3 – 2×2
(f (x))2 = (3 – 2x)2
= 9 + 4x2 – 12x
But f(x2) = (f(x))2
3 – 2 x2 = 9 + 4x2 – 12x
-2x2 – 4x2 + 12x + 3 – 9 = 0
-6x2 + 12x – 6 = 0
(÷ by – 6) ⇒ x2 – 2x + 1 = 0
(x – 1) (x – 1) = 0
x – 1 = 0 or x – 1 = 0
x = 1
The value of x = 1
Question-9:
A plane is flying at a speed of 500 km per hour. Express the distance d travelled by the plane as function of time t in hours.
Solution:
Speed = distance covered / time taken
⇒ distance = Speed × time
⇒ d = 500 × t [ ∵ time = t hrs]
⇒ d = 500 t
Question-10:
The data in the adjacent table depicts the length of a woman’s forehand and her corresponding height. Based on this data, a student finds a relationship between the height (y) and the forehand length (x) as y = ax + b , where a, b are constants.
(i) Check if this relation is a function.
(ii) Find a and b.
(iii) Find the height of a woman whose forehand length is 40 cm.
(iv) Find the length of forehand of a woman if her height is 53.3 inches.
| Length ‘x’ of forehand (in cm) | Height y (in inches) |
| 35 | 56 |
| 45 | 65 |
| 50 | 69.5 |
| 55 | 74 |
Solution:
The relation is y = 0.9x + 24.5
(i) Yes the relation is a function.
(ii) When compare with y = ax + b, a = 0.9, b = 24.5
(iii) When the forehand length is 40 cm, then height is 60.5 inches.
Hint: y = 0.9x + 24.5
= 0.9 × 40 + 24.5
= 36 + 24.5
= 60.5 feet
(iv) When the height is 53.3 inches, her forehand length is 32 cm
Hint: y = 0.9x + 24.5
53.3 = 0.9x + 24.5
53.3 – 24.5 = 0.9 x
28.8 = 0.9 x
x = 28.8/0.9
x = 32 cm
Download Samacheer Kalvi 10th Maths Chapter 1 [Exercise 1.3] Answers
Download Samacheer Kalvi 10th Maths Chapter 1 Relations and Functions [Exercise 1.3] Answers [Guide] PDF
| Exercise 1.3 Answers | Download Here |
Have a question? Please feel free to reach out by leaving a comment below



![Download Maharashtra State Board Class 10th Defence Studies Book [Chapter Wise] MSBSHSE-logo](https://www.recruitmentzones.in/wp-content/uploads/2025/10/MSBSHSE-logo-150x150.jpg)