| Board | Tamil Nadu State Board [Samacheer Kalvi] |
| Class | 10th Standard |
| Subject | Maths |
| Medium | English |
| Chapter | Chapter 1 [Relations and Functions] |
| Exercise | 1.4 |
| Download | Book Exercise Answers [Guide] |
Samacheer Kalvi 10th Maths Chapter 1 [Exercise 1.4]
The notion of sets provides the stimulus for learning higher concepts in mathematics. A set is a collection of well-defined objects. This means that a set is merely a collection of something which we may recognize. In this chapter, we try to extend the concept of sets in two forms called Relations and Functions. For doing this, we need to first know about cartesian products that can be defined between two non-empty sets.
Download Samacheer Kalvi 10th Maths Guide [English Medium] Here
Samacheer Kalvi 10th Maths Chapter 1 [Exercise 1.4] Answers
Question-1:
Determine whether the graph given below represent functions. Give reason for your answers concerning each graph.
Solution:
i) The vertical line cuts the graph at A and B. The given graph does not represent a function.
ii) The vertical line cuts the graph at most one point P. The given graph represent a function.
iii) The vertical line cuts the graph at three points S,T and U. The given graph does not represent a function.
iv) The vertical line cuts the graph at most one point D. The given graph represents a function.
Question-2:
Let f: A → B be a function defined by
f(x) = x/2 – 1, where A = {2, 4,6,10,12},
B = {0,1,2,4,5,9}. Represent f by
(i) set of ordered pairs
(ii) a table
(iii) an arrow diagram
(iv) a graph
Solution:
A = {2,4,6, 10, 12}
B = {0,1, 2, 4, 5, 9}
f(x) = x/2 – 1
f(2) = 2/2 – 1 = 1 – 1 = 0
f(4) = 4/2 – 1 = 2 – 1 = 1
f(6) = 6/2 – 1 = 3 – 1 = 2
f(10) = 10/2 – 1 = 5 – 1 = 4
f(12) = 12/2 – 1 = 6 – 1 = 5
(i) Set of ordered pairs
f = {(2, 0) (4, 1) (6, 2) (10, 4) (12, 5}
(ii) Table:
| X | 2 | 4 | 6 | 10 | 12 |
| f(x) | 0 | 1 | 2 | 4 | 5 |
(iii) Arrow Diagram:
(iv) Graph:
Question-3:
Represent the function f = {(1,2), (2,2), (3,2), (4,3),(5,4)} through (i) an arrow diagram (it) a table form (iii) a graph.
Solution:
f = {(1, 2) (2, 2) (3, 2) (4, 3) (5,4)}
Let A = {1,2, 3, 4, 5}
B = {2, 3, 4}
(i) Arrow Diagram:
(ii) Table Form:
| X | 1 | 2 | 3 | 4 | 5 |
| f(x) | 2 | 2 | 2 | 3 | 4 |
(iii) Graph:
Question-4:
Show that the function f : N → N defined by f(x) = 2x – 1 is one-one but not onto.
Solution:
f: N → N
N = {1,2,3,4,5,… }
f(x) = 2x – 1
f(1) = 2(1) – 1 = 2 – 1 = 1
f(2) = 2(2) – 1 = 4 – 1 = 3
f(3) = 2(3) – 1 = 6 – 1 = 5
f(4) = 2(4) – 1 = 8 – 1 = 7
f(5) = 2(5) – 1 = 10 – 1 = 9
f = {(1,1) (2, 3) (3, 5) (4, 7) (5,9) …..}
(i) Different elements has different images. This function is one to one function.
(ii) Here Range is not equal to co-domain. This function not an onto function.
∴ The given function is one-one but not an onto.
Question-5:
Show that the function f: N ⇒ N defined by f(m) = m2 + m + 3 is one-one function.
Solution:
N = {1,2,3, 4,5, ….. }
f(m) = m2 + m + 3
f(1) = 12 + 1 + 3 = 5
f(2) = 22 + 2 + 3 = 9
f(3) = 32 + 3 + 3 = 15
f(4) = 42 + 4 + 3 = 23
f = {(1,5) (2, 9) (3, 15) (4, 23)}
From the diagram we can understand different elements in (N) in the domain, there are different images in (N) co-domain.
∴ The function is a one-one function.
Question-6:
Let A = {1, 2, 3, 4) and B = N. Letf: A → B be defined by f(x) = x3 then,
(i) find the range off
(ii) identify the tpe of function
Solution:
A = {1, 2, 3, 4}
B = N
f: A → B,f(x) = x3
(i) f(1) = 13 = 1
f(2) = 23 = 8
f(3) = 33 = 27
f(4) = 43 = 64
(ii) The range of f = {1, 8, 27, 64 )
(iii) It is one-one and into function.
Question-7:
In each of the following cases state whether the function is bijective or not. Justify your answer.
(i) f: R → R defined by f (x) = 2x + 1
(ii) f: R → R defined by f(x) = 3 – 4x2
Solution:
(i) f(x) = 2x + 1
f(0) = 2(0) + 1 = 0 + 1 = 1
f(1) = 2(1) + 1 = 2 + 1 = 3
f(2) = 2(2) + 1 = 4 + 1 = 5
f(3) = 2(3) + 1 = 6 + 1 = 7
Different elements has different images
∴ It is an one-one function.
It is also an onto function. The function is one-one and onto function.
∴ It is a bijective function.
(ii) f(x) = 3 – 4x2
f(1) = 3 – 4(1)2
= 3 – 4 = -1
f(2) = 3 – 4(2)2 = 3 – 16 = – 13
f(3) = 3 – 4(3)2 = 3 – 36 = – 33
f(4) = 3 – 4(42) = 3 – 64 = – 61
It is not a bijective function. The positive numbers “R” do not have negative pre – image in X in R.
Question-8:
Let A= {-1,1}and B = {0,2}.
If the function f: A → B defined by
f(x) = ax + b is an onto function? Find a and b.
Solution:
A = {-1, 1}; B = {0,2}
f(x) = ax + b
f(-1) = a(-1) + b
0 = -a + b
a – b = 0 ….(1)
f(1) = a(1) + b
2 = a + b
a + b = 2 ….(2)
Solving (1) and (2) we get
a=2/2
a=1
Substitute a = 1 in (1)
The value of a = 1 and b = 1
Question-9:
If the function f is defined by
find the value of
(i) f(3)
(ii) f(0)
(iii) f(1. 5)
(iv) f(2) + f(-2)
Solution:
f(x) = x + 2 when x = {2,3,4,……}
f(x) = 2
f(x) = x – 1 when x = {-2}
(i) f(x) = x + 2
f(3) = 3 + 2 = 5
(ii) f(x) = 2
f(0) = 2
(iii) f(x) = x – 1
f(-1.5) = -1.5 – 1 = -2.5
(iv) f(x) = x + 2
f(2) = 2 + 2 = 4
f(x) = x – 1
f(-2) = – 2 – 1 = – 3
f(2) + f(-2) = 4 – 3
= 1
Question 10:
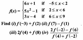
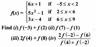
A function f: [-5, 9] → R is defined as follows:
Solution:
f(x) = 6x + 1 ; x = {-5,-4,-3,-2,-1,0,1}
f(x) = 5×2 – 1 ; x = {2, 3, 4, 5}
f(x) = 3x – 4 ; x = {6, 7, 8, 9}
(i) f(-3) + f(2)
f(x) = 6x + 1
f(-3) = 6(-3) + 1 = -18 + 1 = -17
f(x) = 5x2 – 1
f(2) = 5(2)2 – 1 = 20 – 1 = + 19
f(-3) + f(2) = – 17 + 19
= 2
(ii) f(7) – f(1)
f(x) = 3x – 4
f(7) = 3(7) – 4 = 21 – 4 = 17
f(x) = 6x + 1
f(1) = 6(1) + 1 = 6 + 1 = 7
f(7) – f(1) = 17 – 7
= 10
(iii) 2f(4) + f(8)
f(x) = 5x2 – 1
f(4) = 5(4)2 – 1 = 5(16) – 1
= 80 – 1 = 79
f(x) = 3x – 4
f(8) = 3(8) – 4 = 24 – 4 = 20
2f(4) + f(8) = 2(79) + 20
= 158 + 20
= 178
(iv) 2f(-2) – f(6) / f(4) + f(-2)
f(x) = 6x + 1
f(-2) = 6(-2) + 1 = -12 + 1 = -11
f(x) = 3x – 4
f(6) = 3(6) – 4 = 18 – 4 = 14
f(x) = 5x2 – 1
f(4) = 5(4)2 – 1 = 5(16) – 1
= 80 – 1 = 79
f(x) = 6x + 1
f(-2) = 6(-2) + 1 = -12 + 1 = -11
2f(-2) – f(6) / f(4) + f(-2) =2(11)-14 / 79-11
=-22-14/68
=-36/68
=-9/17
Question-11:
The distance S an object travels under the influence of gravity in time t seconds is given by S(t) = 12 gt2 + at + b where, (g is the acceleration due to gravity), a, b are constants. Check if the function S (t)is one-one.
Solution:
S(t) = 1/2 gt2 + at + b
Let t be 1, 2, 3, ………, seconds
S(1) = 1/2 g(12) + a(1) + b = 1/2 g + a + b
S(2) = 1/2 g(22) + a(2) + b = 2g + 2a + b
Yes, for every different values of t, there will be different values as images. And there will be different preimages for the different values of the range. Therefore it is one-one function.
Question-12:
The function ‘t’ which maps temperature in Celsius (C) into temperature in Fahrenheit (F) is defined by t(C) = F where F = 95 C + 32. Find,
(i) t(0)
(ii) t(28)
(iii) t(-10)
(iv) the value of C when t(C) = 212
(v) the temperature when the Celsius value is equal to the Fahrenheit value.
Solution:
Given t(C) = 9C/5 + 32
(i) t(0) = 9(0)/5 + 32
= 32° F
(ii) t(28) = 9(28)/5 + 32
= 252/5 + 32
= 50.4 + 32
= 82.4° F
(iii) t(-10) = 9(−10)/5 + 32
= -18 + 32
= 14° F
(iv) t(C) = 212
9C/5 + 32 = 212
9C/5 = 212 – 32
= 180
9C = 180 × 5
C = 180×5/9
= 100° C
(v) consider the value of C be “x”
t(C) = 9C/5 + 32
x = 9x/5 + 32
5x = 9x + 160
-160 = 9x – 5x
-160 = 4x
x = −160/4 = -40
The temperature when the Celsius value is equal to the fahrenheit value is -40°
Download Samacheer Kalvi 10th Maths Chapter 1 [Exercise 1.4] Answers
Download Samacheer Kalvi 10th Maths Chapter 1 Relations and Functions [Exercise 1.4] Answers [Guide] PDF
| Exercise 1.4 Answers | Download Here |
Have a question? Please feel free to reach out by leaving a comment below












